본문바로가기
함께 풀고 싶은 문제
창의력을 기를 수 있는 수학 문제 또는 퍼즐을 내는 곳입니다.
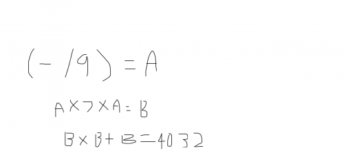
[창의 퍼즐] 선 하나 문제
Estars수리별 2021.04.15 06:12 조회 493

자 여기서 선 하나로 이 식을 맞게 만드세요.

제가 원하는 해답은 하나입니다. 그 답만 인정되고 다른 답은 부분해결로 처리됩니다.

선은 직선입니다 곡선 안되요.

수정) 등호에 선을 그으면 정답이 아닙니다.

식을 지워버려도 안됩니다.

이 문제 어떠셨나요?

글쎄요

0

어려워요

0

  •  
    부분해결
    PF_ Lv.8 2021.04.15 06:20 비밀댓글

    A PHP Error was encountered

    Severity: Warning

    Message: mkdir(): Permission denied

    Filename: libraries/Common.php

    Line Number: 202

    Backtrace:

    File: /volume1/web/PhpstormProjects/www_polymath_co_kr/application/libraries/Common.php
    Line: 202
    Function: mkdir

    File: /volume1/web/PhpstormProjects/www_polymath_co_kr/application/libraries/Common.php
    Line: 236
    Function: getLatexImg

    File: /volume1/web/PhpstormProjects/www_polymath_co_kr/application/views/ver3/inc/view_comment_list.php
    Line: 90
    Function: parseLatexImg

    File: /volume1/web/PhpstormProjects/www_polymath_co_kr/application/views/ver3/inc/view.php
    Line: 343
    Function: view

    File: /volume1/web/PhpstormProjects/www_polymath_co_kr/application/controllers/ver3/Contents.php
    Line: 558
    Function: view

    File: /volume1/web/PhpstormProjects/www_polymath_co_kr/index.php
    Line: 315
    Function: require_once

    A PHP Error was encountered

    Severity: Warning

    Message: file_put_contents(/DATA/upload/polymath/latex/7841689b027ae693d2d2a7d436feba9c.gif): failed to open stream: No such file or directory

    Filename: libraries/Common.php

    Line Number: 213

    Backtrace:

    File: /volume1/web/PhpstormProjects/www_polymath_co_kr/application/libraries/Common.php
    Line: 213
    Function: file_put_contents

    File: /volume1/web/PhpstormProjects/www_polymath_co_kr/application/libraries/Common.php
    Line: 236
    Function: getLatexImg

    File: /volume1/web/PhpstormProjects/www_polymath_co_kr/application/views/ver3/inc/view_comment_list.php
    Line: 90
    Function: parseLatexImg

    File: /volume1/web/PhpstormProjects/www_polymath_co_kr/application/views/ver3/inc/view.php
    Line: 343
    Function: view

    File: /volume1/web/PhpstormProjects/www_polymath_co_kr/application/controllers/ver3/Contents.php
    Line: 558
    Function: view

    File: /volume1/web/PhpstormProjects/www_polymath_co_kr/index.php
    Line: 315
    Function: require_once

    비밀 댓글이 등록 되었습니다.
    댓글 작성하기 댓글수1
    •  
      Estars수리별 Lv.3 2021.04.15 06:21 비밀댓글
      비밀 댓글이 등록 되었습니다!
  •  
    다시 도전
    PF_ Lv.8 2021.04.15 20:27 비밀댓글
    비밀 댓글이 등록 되었습니다.
    댓글 작성하기 댓글수0
  •  
    다시 도전
    자몽이 Lv.6 2021.04.15 22:46 비밀댓글
    비밀 댓글이 등록 되었습니다.
    댓글 작성하기 댓글수2
    •  
      자몽이 Lv.6 2021.04.15 22:47

      ㅋㅋ

      좋아요0
    •  
      PF_ Lv.8 2021.04.16 01:12

      혹시 밑 댓글과 똑같은 내용인가요...

      좋아요0
  •  
    다시 도전
    PF_ Lv.8 2021.04.16 01:11

     

    굵은 선을 그어 식을 완전히 어 ㅂㅅ앤다((퍼퍼퍼퍼퍼퍼퍼퍼퍼퍼ㅓ퍼퍼펑픙ㅍ으ㅓㅍ어ㅜ퍼ㅓㅡ어ㅡㄹ퍼ㅡ어ㅡㅍㅇ러ㅡㅓㅡㅇ러ㅡㅇ러어얼퍼ㅡ어엉프ㅓㅇ르ㅓㅍ으ㅓ프그ㅓ거ㅡ그ㅓㅍ그ㅓ거겊거픅퍽퍽펖그ㅓㅍ거ㅡ거ㅡㄱ퍼ㅡㄱ퍼ㅡ거ㅡㄱ퍼ㅡㄱ퍼ㅡㄱ프ㅓㄱ프ㅓㅍㄱ프프프ㅓ프ㅓㅡㅓ프ㅓㅍ프퍼퍼ㅓ퍼ㅓ퍼퍼퍼읖ㅍ푸풒푸ㅜ웅퍼펑퍼펖퍼퍼퍼퍼ㅓㅓㅇㅍ퍼ㅏ퍼ㅓ퍼퍼ㅓ퍼퍼ㅓㅍ퍼ㅓ펖퍼펖펖퍼펑펑ㅍㅍ펑ㅍㅍ펖퍼퍼퍼퍼펖러퍄ㅓㅇ퍼퍙퍼퍼퍼퍼퍼펖퍼퍼퍼퍼펴ㅓ펴폎폎여펴폎여여ㅓ폎옆여ㅓㅍ옆옆옆옆여ㅓㅍ어ㅕㅍ어ㅕㅍ여퍼ㅕㅍㅇ펴ㅓ옆ㅇㅍ어ㅕㅍㅇㅍㅇㅍㅇ펴ㅕㅓㅇㅇ펴ㅓㅍ여ㅕㅕㅇ격겨ㅕㅇㄱ역ㄱ여ㅓㅇ겨ㅓ여ㅓ ㅕㅓㅕㄱ여ㅓㄱ펴ㅓㅇㄱ평ㄱㅍㄱㅍ역여ㅓㄱ어ㅕㄱㅇ펴ㅓㅇㄱ펴

    댓글 작성하기 좋아요0 댓글수2
    •  
      자몽이 Lv.6 2021.04.16 02:55

      ㅂ..비슷해요!

      좋아요0
    •  
      Estars수리별 Lv.3 2021.04.16 05:12

      매우 창의적이시군요 근데 그건 선이 아니라 사각형 같은데요

      좋아요0
  •  
    다시 도전
    PF_ Lv.8 2021.04.16 05:15 비밀댓글
    비밀 댓글이 등록 되었습니다.
    댓글 작성하기 댓글수1
    •  
      Estars수리별 Lv.3 2021.04.16 05:18 비밀댓글
      비밀 댓글이 등록 되었습니다!
  •  
    다시 도전
    PF_ Lv.8 2021.04.16 05:21 비밀댓글
    비밀 댓글이 등록 되었습니다.
    댓글 작성하기 댓글수0
  •  
    다시 도전
    PF_ Lv.8 2021.04.16 05:26 비밀댓글
    비밀 댓글이 등록 되었습니다.
    댓글 작성하기 댓글수1
    •  
      Estars수리별 Lv.3 2021.04.16 05:29

      계산기로 무엇이 나와야 답이 되는지를 계산해 보시면 좋을 것 같아요

      좋아요0
  • 폴리매스 문제는 과학기술진흥기금 및 복권기금의 재원으로 운영되고, 과학기술정보통신부와 한국과학창의재단의 지원을 받아 수행된 성과물로 우리나라의 과학기술 발전과 사회적 가치 증진에 기여하고 있습니다.

  • ☎문의 02-6749-3911